【Ver.3.1の主な改変内容】
「土地改良事業計画設計基準及び運用・解説 設計 パイプライン」(令和3年6月)の改定に伴う対応をしました。
- 使用管種に「ガラス繊維強化ポリエチレン管」が追加されました。

- TGの名称が「地盤の特性値」から「地盤の固有周期」に変更されました。
- 地盤変位の伝達係数を求める計算式で、管材のヤング係数が長期(EL)を用いるように変更されました。

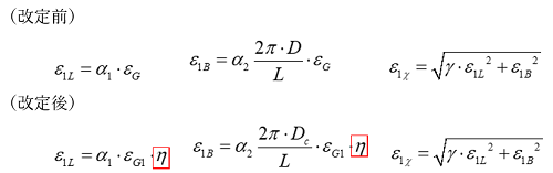
- 常時荷重による軸方向ひずみの計算式が変更されました。
(a)内圧による軸方向ひずみを求める計算式で、管材のヤング係数が長期(EL)、短期(ES)、内圧が静水圧(P1)、水撃圧(P2)を用いるように変更されました。
※ヤング係数長期(EL)は、樹脂系管材は短期(ES)の値にクリープ係数0.8を乗じた値を用います。
なお、金属管、コンクリート管は短期(ES)の値を用います。
(b)自動車荷重による軸方向ひずみを求める計算式で、管材のヤング係数が短期(ES)を用いるように変更されました。
(c)不同沈下による軸方向ひずみの基礎の特性値と最大発生ひずみを求める計算式で、管材のヤング係数が長期(EL)を用いるように変更されました。
- 地震時における管体の軸方向ひずみの計算式が変更されました。
(a)レベル1地震動による管体ひずみを求める計算式で、地盤の不均一度係数を考慮するように変更されました。

(b)レベル2地震動による管体ひずみを求める計算式は以下のように変更されました。
- 常時荷重による管体発生応力の計算式が変更されました。
(a)内圧による軸方向応力を求める計算式で、内圧が静水圧(P1)、水撃圧(P2)を用いるように変更されました。
(b)自動車荷重による軸方向応力を求める計算式で、ヤング係数が短期(ES)を用いるように変更されました。
- 地震時における管体発生応力の計算式が変更されました。
地震動における管体応力を求める計算式で、ヤング係数が長期(EL)を用いるように変更されました。
また、地盤の不均一度係数を考慮するように変更されました。
- 常時荷重による継手の伸縮量の計算式が変更されました。
(a)内圧による継手伸縮量を求める計算式で、ヤング係数が長期(EL)、短期(ES)、内圧による軸方向応力が静水圧による管軸方向応力(σPi1)、水撃圧による管軸方向応力(σPi2)を用いるように変更されました。
(b)自動車荷重による継手伸縮量を求める計算式で、ヤング係数が短期(ES)を用いるように変更されました。
- 地震時における継手の軸方向伸縮量を求める計算式で、ヤング係数が長期(EL)に変更されました。また、地盤の不均一度係数を考慮するように変更されました。

また、ダクタイル鋳鉄管の場合、以下の式が追記されました。
- 継手の屈曲角度を求める計算式で、地盤の不均一度係数を考慮するように変更されました。

- 液状化の判定に用いる地盤面における設計水平震度の標準値khgL0の値が変更されました。

- 「護岸近傍における地盤の側方変位」の管の軸ひずみを求める計算式で、ヤング係数が長期(EL)、「液状化した地盤の摩擦力τ’」が「管と周辺地盤間ですべりが発生する時のすべり開始限界せん断応力τcr」に変更されました。

- 「傾斜地盤における地盤側方変位」の管の軸ひずみを求める計算式で、ヤング係数が長期(EL)、「液状化した地盤の摩擦力τ’」が「管と周辺地盤間ですべりが発生する時のすべり開始限界せん断応力τcr」に変更されました。

